原创文章: 力学说 2025年11月19日
前言
中国科学技术大学司廷教授、穆恺副教授团队通过数值模拟和理论分析,系统地研究了环境气体中液体射流的受迫破裂,重点刻画了在宽广的扰动频率和振幅范围内射流破裂的响应模式。模拟结果表明,在包含自然破裂频率在内的频率范围内,液体射流的破裂可以与外部驱动有效同步,从而能够产生高度均匀的液滴。当扰动频率超过一个上限临界值时,外部扰动无法主导射流破裂;而当频率低于一个下限临界值时,射流在一个周期内会产生多个液滴而破裂。高扰动振幅可导致液体累积,形成薄饼状的射流构型。通过频谱分析,阐明了不同响应模式下射流界面扰动的发展,揭示了自然频率与外部频率之间的竞争关系。对液体射流进行了线性不稳定性分析,通过比较自由射流与受驱动射流的破裂时间,以及射流破裂长度随扰动频率、振幅和射流速度的变化趋势,该分析成功预测了同步频率范围。定量数值结果表明,在低扰动频率下产生多个液滴的情况下,后部液滴保持比前导液滴更高的速度,并且液滴串前缘出现的高压区促进了液滴的合并。此外,该研究引入了一种创新方法,通过在正弦扰动波形上叠加周期性脉冲,能够主动调控多个液滴的合并动力学。

内容速览
1、研究背景普遍性与重要性: 液体射流破裂成液滴的现象在自然界和工业应用中广泛存在,例如从水龙头滴水、喷泉、射水鱼的捕食行为,到工业领域的喷墨打印、药物微胶囊制备、燃油雾化和极紫外光刻中的锡液滴生成等。控制需求: 在这些应用中,液滴的尺寸、均匀性、生成频率和间距等形态特征至关重要,直接影响过程的效率和最终产品的质量。例如,极紫外光刻要求锡液滴具有高度均匀的尺寸和间距,以确保在强激光脉冲下激发的高度可重复性。自然破裂的局限性: 自由射流(无外部扰动)由于其界面受到随机扰动的支配,其破裂往往表现出较差的重复性,液滴尺寸分布在一个范围内,并常伴随有卫星液滴的产生,这使得主动、按需生成液滴变得困难。
2、解决的问题本文旨在系统性地研究在静态气体环境中,通过机械振动(在入口施加速度扰动)来控制液体射流破裂的过程。核心科学问题是:在不同的扰动频率和振幅下,射流破裂会表现出怎样的响应模式?这些模式之间的转变临界条件是什么?如何从理论上预测和控制这些行为,以实现均匀液滴的按需生成,并进一步操控液滴的合并动力学?
3、提出的方法数值模拟: 采用基于Cahn-Hilliard方程的扩散界面方法,在轴对称坐标系下对Navier-Stokes方程进行直接数值模拟。该方法能精确计算界面张力,并很好地处理了两相流问题。驱动方式: 在射流入口施加一个正弦速度扰动,其表达式为 U₁(t) = 1 + A sin(2πft),系统地改变扰动振幅A、频率f以及射流的平均速度V。理论分析: 并行进行了线性不稳定性分析,采用了两种模型:全粘性流模型(FVF): 全面考虑液体和气体内部的粘性效应,通过Chebyshev谱配置法数值求解特征值问题。
粘性势流模型(VPF): 一种简化模型,忽略流体内部的粘性,仅在界面边界条件中考虑粘度,从而得到一个显式的色散关系,便于理论预测。创新调控策略: 为了主动控制液滴合并,提出了一种复合扰动波形,即在基础正弦波上周期性叠加一个强脉冲。
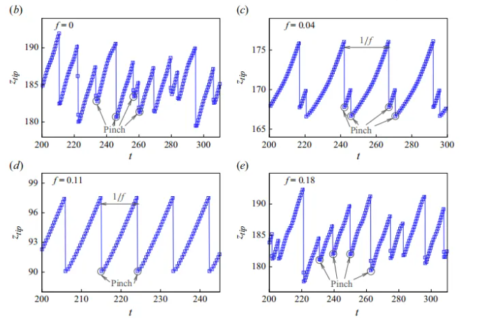
4、实现的效果识别了四种响应模式:不规则破裂模式(I模式): 扰动过弱或频率过高时,射流受自身随机扰动主导,破裂无规则。多重破裂模式(M模式): 在低扰动频率下,一个周期内产生多个尺寸不同的液滴,这些液滴在下游会合并。同步破裂模式(S模式): 在一个特定的频率范围内,射流破裂与外部扰动完全同步,产生尺寸高度均匀的液滴。液滴尺寸可通过频率按D = (6/f)^(1/3)精确调控。运动聚集模式(K模式): 在高振幅下,液体轴向剧烈碰撞,径向铺展形成薄饼状结构。绘制了相图: 明确了不同响应模式在频率-振幅参数空间中的分布区域,并利用理论分析成功预测了同步模式(S模式)的频率范围。阐明了内在机理: 通过频谱分析揭示了不同模式下界面扰动波的发展与竞争(自然频率 vs. 外部频率)。量化了关键参数: 理论模型成功预测了自然破裂频率、同步频率范围以及射流破裂长度随频率、振幅和速度的变化趋势。解析并操控了合并动力学: 在M模式下,揭示了后部液滴因速度更快而追上前部液滴并合并的物理机制(液滴串前缘形成高压区导致前部液滴减速)。通过叠加脉冲的策略,成功实现了对多个均匀液滴可控合并的主动调制。
5、创新点系统性参数研究: 在宽广的参数范围(频率、振幅、速度)内,对受迫射流破裂的响应模式进行了系统性的数值模拟和理论分析,并提供了清晰的相图。理论预测与验证: 创新性地通过比较受迫射流与自由射流的破裂时间,从线性不稳定性理论出发,定量预测了同步破裂的频率范围,并与数值结果高度吻合。深入的频谱分析: 采用空间频谱分析手段,直观地揭示了不同破裂模式下界面扰动波的成分演变和竞争机制,为理解模式转变提供了深层次的物理图像。主动液滴合并操控策略: 提出了在正弦扰动上叠加周期性脉冲的创新方法,实现了对M模式下液滴合并过程的有效、主动调控,为需要特定液滴间距和尺寸的应用(如极紫外光刻)提供了新的技术思路。
图文速览






文章小结
通过结合求解Navier-Stokes方程和扩散界面方法的直接数值模拟,研究了静态气体环境中液体射流的受迫破裂。在入口处施加了射流速度的正弦扰动,并研究了扰动频率和振幅对液体射流演化的影响。观察到了四种典型的射流破裂响应模式:不规则破裂模式、多重破裂模式、同步破裂模式和运动聚集模式。提供了模式转变的相图,展示了它们如何随扰动频率和振幅的变化而变化。具体而言,在同步破裂模式下,液体射流的破裂产生了一串尺寸和间距均匀的液滴,并且可以通过改变频率来调节液滴尺寸。射流的自然破裂频率位于同步破裂区域的频率范围内。当外部频率接近自然频率时,射流破裂长度达到最小,并且增加驱动振幅会单调减小射流破裂长度。研究发现液体射流速度可以调节射流破裂长度,同时也增加了自然破裂频率以及同步区域的上、下临界频率。进行了界面扰动发展的频谱分析,揭示了不同射流破裂响应模式的特征。还进行了基于完全粘性模型和粘性势流模型的线性不稳定性分析,为自然频率以及可以产生均匀液滴的频率范围提供了理论预测。通过将线性不稳定性分析与尺度分析相结合,可以预测射流破裂长度随扰动频率、振幅和射流速度变化的趋势。还分析了多重破裂模式下液滴的合并动力学,表明对于一个周期内产生的多个液滴,上游液滴比下游液滴具有更大的速度,这导致了液滴的合并。由于空气阻力,在液滴串前部形成高压区,导致液滴减速。此外,通过在正弦扰动波形上添加脉冲,可以通过调节脉冲的等效频率和振幅来主动调控多个液滴的合并动力学。在未来的工作中,还可以将一系列频率组合应用于射流,预计由于不同频率和增长率的扰动波之间的竞争,将带来更丰富的射流破裂动力学。总之,这项数值研究可以为液体射流破裂调控的实验研究提供指导,有望为实际应用中按需生成液滴做出贡献。