吴岸平, 范孝华, 郭雷涛, 何超, 许晓斌
中国空气动力研究与发展中心 超高速空气动力研究所,绵阳
doi: 10.7638/kqdlxxb-2023.0037
飞行器的发展,对风洞不同模拟条件下气动和操稳特性的准确预测提出了更高需求。风洞流场品质是影响试验数据精准度的主要因素之一,本文以某风洞马赫数5.5喷管为研究对象,开展喷管出口流场不均匀性研究。
首先筛选出了一套能够捕捉喷管内部微弱波系结构的数值计算策略,并进行了网格无关性验证。接着针对影响喷管流场均匀性的主要因素进行了数值计算分析,得到了以下结论:
1) 基于特征线理论的喷管设计方法得到离散点后,可用插值和拟合方法得到其他位置型面坐标。采用拟合方法得到的喷管型面内部较为纯净,采用插值方法得到的喷管型面内部存在微弱的波系结构,但引起的马赫数波动较小,对流场均匀性影响不大。

图 1 三次样条插值喷管内部压力梯度等值线图

图 2 多项式拟合喷管内部压力梯度等值线图
2) 喷管型面加工精度对流场均匀性影响较大,偏差0.10 mm时喷管内部存在明显波系结构,马赫数偏差在0.2%以内;偏差0.25 mm时喷管内部波系更强,马赫数偏差在0.5%以内,且与原始型面相比出口马赫数出现明显下降。

图 3 不同型面加工偏差喷管出口马赫数分布
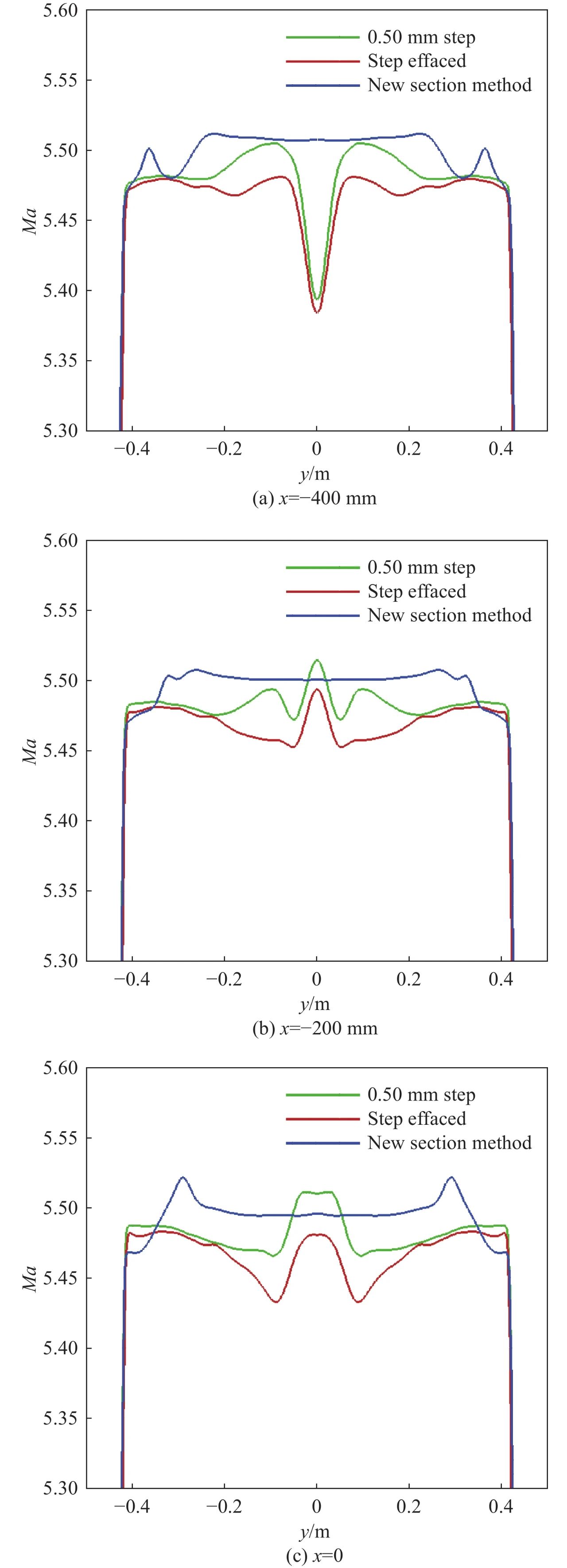
3) 喷管型面拼接处阶差是目前影响风洞喷管流场品质的最主要因素,应尽量避免阶差引起的波系在喷管出口处相交,当阶差为0.25 mm时,马赫数偏差整体控制在0.5%以内。
4) 针对喷管型面拼接处阶差的影响,本文提出了提升流场品质的改进策略,包括新的拼接工艺、拼接后的打磨处理和新的喷管分段方式。采用新的分段方式可以有效提高喷管出口截面轴线附近区域的马赫数均匀性,减小马赫数波动,从而提升流场品质。

图 4 三种改进措施下不同截面马赫数分布图
摘自《空气动力学学报》